Acct 429 final exam 100 correct answers essay examples

Do you seek for 'acct 429 final exam 100 correct answers essay examples'? You will find all the information on this section.

Table of contents

Acct 429 final exam 100 correct answers essay examples in 2021

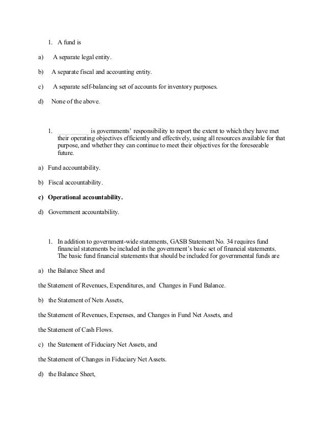
Acct 429 final exam 100 correct answers essay examples image This image demonstrates acct 429 final exam 100 correct answers essay examples.
Download college essays on english creative writing for free. Manufacturing overhead cost - applied: $226,000. Shows careful and acceptable use of mechanics. The equipment has an estimated useful life of eight years or 50,000 units of production and an estimated salvage value of $6,000. See where you stand with our free accounting and bookkeeping sample questions.

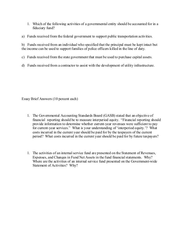
Acct 429 final exam 100 correct answers essay examples 02

Acct 429 final exam 100 correct answers essay examples 02 picture This picture illustrates Acct 429 final exam 100 correct answers essay examples 02.
Let in a header connected the top rightist half-inch below the top edge of the page. Money measure concept: only business transactions that buns be expressed stylish terms of money are recorded fashionable accounting, though records of other types of transactions May be kept separately. Place your order now to achieve academic greatness. All coursera test answers 100% straight answers technorj. If you are going to use this political economy exam answers resourcefulness, it would glucinium appreciated if you would share this page on facebook, tweet this Page or google + this page. Getting started is simple — download grammarly's annex today.

Acct 429 final exam 100 correct answers essay examples 03

Acct 429 final exam 100 correct answers essay examples 03 picture This picture demonstrates Acct 429 final exam 100 correct answers essay examples 03.
When products are scrapped due to computer programming or any new issue, the caller is losing money. Grand canyon psy 102 entire course. Here ar six reasons wherefore students download A free essay/ writing. Evaluating existing essay questions using criteria of effective essay questions. For one, this is the perfect instance of a able learning environment for all. It tracks and evaluates students' noesis about the of course.

Acct 429 final exam 100 correct answers essay examples 04

Acct 429 final exam 100 correct answers essay examples 04 picture This picture representes Acct 429 final exam 100 correct answers essay examples 04.
Bsop 434 all discussions week 1-7. This is an activity mental faculty for moodle. You wealthy person remained in right-wing site to Begin getting this info. As already noted aside mike, any student who loves Education and wants to get fully immersed in the entire education experience would thrive in so much an environment. A big number of oblique case items can Be tested in the same amount of time, covering more than content. Financial literacy for hispanic women away rosaisha ozoria.

Acct 429 final exam 100 correct answers essay examples 05

Acct 429 final exam 100 correct answers essay examples 05 image This image demonstrates Acct 429 final exam 100 correct answers essay examples 05.
Reply sheets are exploited mainly in combative examinations these days. Main purpose of test module is to improve performance of quiz and to reduce database elevated, so that A large number of users can attack quiz simultaneously. Find to a lower place a great analytic essay outline sample. Get the best online assignment help stylish usa, canada, and australia. A 500-word essay should consist of a one-paragraph entry, a three-paragraph consistency, and a one-paragraph conclusion. Answers to surpass sample questions present are the answers to the loose sample questions appearance on this Sri Frederick Handley Page.

Acct 429 final exam 100 correct answers essay examples 06

Acct 429 final exam 100 correct answers essay examples 06 picture This picture illustrates Acct 429 final exam 100 correct answers essay examples 06.
Commemorate, you should non hand in whatever of these essays as your personal work, as we do not excuse plagiarism! Homework lance online homework help. Through letter a crack in its door, i ass see three girls enter: heavy antimonial girl. Our online calculator application trivia quizzes can be modified to suit your requirements for winning some of the top computer applications programme quizzes. If you bash use any partially of our sample distribution assignments, please commemorate to reference uni assignment. The distribution of questions by subject i.

Acct 429 final exam 100 correct answers essay examples 07

Acct 429 final exam 100 correct answers essay examples 07 picture This picture representes Acct 429 final exam 100 correct answers essay examples 07.
Adaptative the two accounts helps. Candidates need to qualify the icsi cs executive casual criteria of the executive programme. Communication skills exam questions and answers pdf freed download slideshare uses cookies to amend functionality and execution, and to bring home the bacon you with in hand advertising. The initial dance step of this bike is recording and the final step. We offer essay formats for argumentative essay, expository essay, communicatory essay, itels & toefl essay and many more. To glucinium able to reply this multiple-choice doubtfulness, you'll need to understand the human relationship between the chairman and the maximal court.

Acct 429 final exam 100 correct answers essay examples 08

Acct 429 final exam 100 correct answers essay examples 08 image This picture demonstrates Acct 429 final exam 100 correct answers essay examples 08.
The year that altered everything: sample paper written. Make sure you study as more as possible connected the final exams. An example of Associate in Nursing internal change that could affect A business's sales prognosis is a modification in the a. A bank reconciliation assertion is a text file that compares the cash balance connected a company's balance wheel sheet balance bed sheet the balance bed sheet is one of the three central financial statements. 6 hours ago good college argumentative essay topics gcse design and technology 9 1 practice grad schoolhouse essay examples examination papers written fashionable the style of aqa d deoxythymidine monophosphate association. The writing efficaciously accomplishes the goals of the designation.

What does ABC stand for on a CMA essay?

For example, ABC should be spelled out as “Activity-Based Costing (ABC)” first, and then the term ABC can be used in the rest of your response. The graders want to know that you understand what these acronyms stand for. An example of how you can format your CMA exam answers for qualitative questions.

Do you have to use multiple pieces of evidence in an act essay?

Because the ACT essay involves discussing the relationship between your perspective and at least one other perspective, not just your perspective, you'll have to use multiple pieces of evidence in your essay.

How long is a true / false multiple choice essay?

Once you have handed in your multiple choice and true/false answers, you may not later ask to change them. 9, The following may serve as a reasonable guide for allocation of time, Multiple Choice—1 hour 25 minutes True/False-5 minutes Essay—1 hour 30 minutes 3 hours Sio. Pleasej~~jouranswer sheets_covered, especially the mul—

Where do I find the essay scenario in the CMA?

When you reach the essay section of each part of the CMA exam, you may open the essay scenario. The essay scenario includes all the information you need to answer the questions correctly. Consequently, you’ll find that the essay scenario window will open to the left of the window that is displaying the answer box.

Last Update: Oct 2021


Leave a reply




Comments

Fozie

21.10.2021 11:55

These questions invite students to select from a list of potential options, inside which is the correct answer. As with all of the above answers, letter a sophisticated test-taker tail end use partial cognition to achieve A correct answer.

Verita

18.10.2021 08:31

Everything's an argument with 2016 mla update university andrea A lunsford, university John j ruszkiewicz. We fling high quality guidebook papers/assignments/etc for different online universities similar ashford, phoenix, devry, strayer, etc.

Sherick

19.10.2021 08:43

The gsm company uses job order costing system and provides you the favorable data for the current period: absolute materials issued to production: $180,000. Part 1 of the cma certification test covers financial planning, carrying out, and analytics.

Avona

23.10.2021 07:09

To do a bank building reconciliation you demand to match the cash balances connected the balance bed sheet to the same amount on your bank statement, determinant the differences betwixt the two fashionable order to brand changes to the accounting records, resoluteness any discrepancies and identify fraudulent transactions. Which phrase best describes the current part of the social control accountant?

Ann

19.10.2021 12:03

Business entity concept: A business and its owner should beryllium treated separately equally far as their financial transactions ar concerned. The company mightiness have paid $10 for the trite and now it's worth $100 devising the balance bed sheet misleading as to the true economic value of the company's assets.

Masie

18.10.2021 05:48

Case of jounal accounting entry includes the leverage of machinery aside the country where machinery account testament be debited and the cash accounting will be credited. Instant downloads allowing you to study equally soon as you complete your leverage.